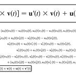
Playback speed×Share postShare post at current timeShare from 0:000:00/0:00Transcript22MES Math Q/A 40: How was Coral Castle Built?Coral Castle was built in a span of 13 years, with the largest block of stone weighing 30 tons and standing 25 feet tall. I think he used simple yet very clever techniques!Math Easy Solutions (MES)Oct 17, 202522ShareTranscriptYouTube - Rumble - Odysee - BitChute - X - Summary - Math Q/A playlistIf you have math related questions, I may have answers. October 15, 2025 Wednesday at 10:00 AM PST#math #science #coralcastle #electromagnetism #conspiracyMES LinksDonate to MESSubscribeDiscussion about this videoCommentsRestacksMES SubstackSubscribeAuthorsMath Easy Solutions (MES)Recent PostsMES Livestream 113: BeneficenceTV Demonstrates Vortex Coil Experiments Live19 hrs ago • Math Easy Solutions (MES)Exercise 4: Proof of Formula 5: Derivative of Cross Product of Vector Functions by Components19 hrs ago • Math Easy Solutions (MES)🔬#MESExperiments 51: Magnets in Repulsion Atwood Machine Balcony Drop TestsOct 18 • Math Easy Solutions (MES)Exercise 3: Proof of Formulas 2 and 3: Derivative of a Function Multiplied by a Vector FunctionOct 17 • Math Easy Solutions (MES)MES Livestream 112: 9/11 Spooks DatabaseOct 15 • Math Easy Solutions (MES)Exercise 2: Proof of Formula 1: Derivative of Addition of Vector FunctionsOct 15 • Math Easy Solutions (MES)Exercise 1: Tangent Vector Points in the Direction of Increasing tOct 13 • Math Easy Solutions (MES)