0:00
/
0:00
Transcript

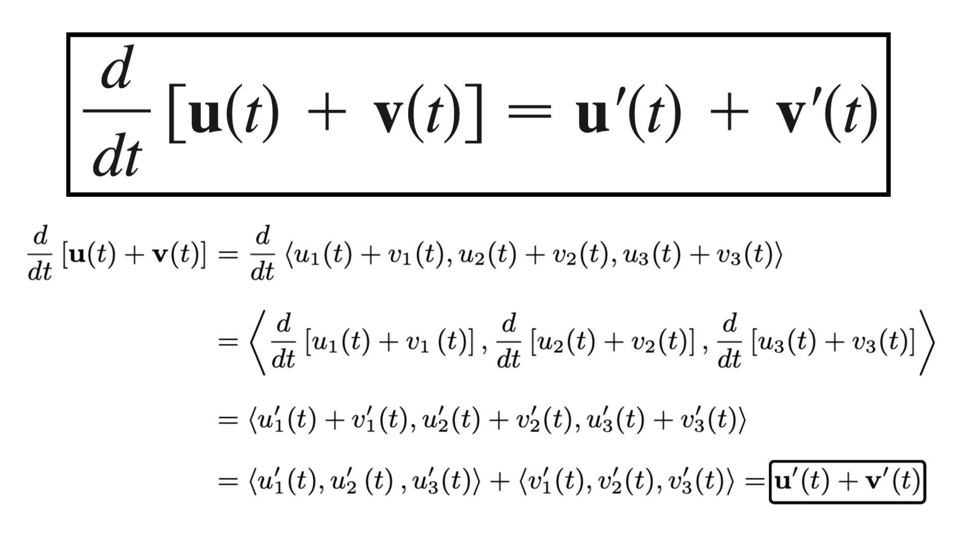
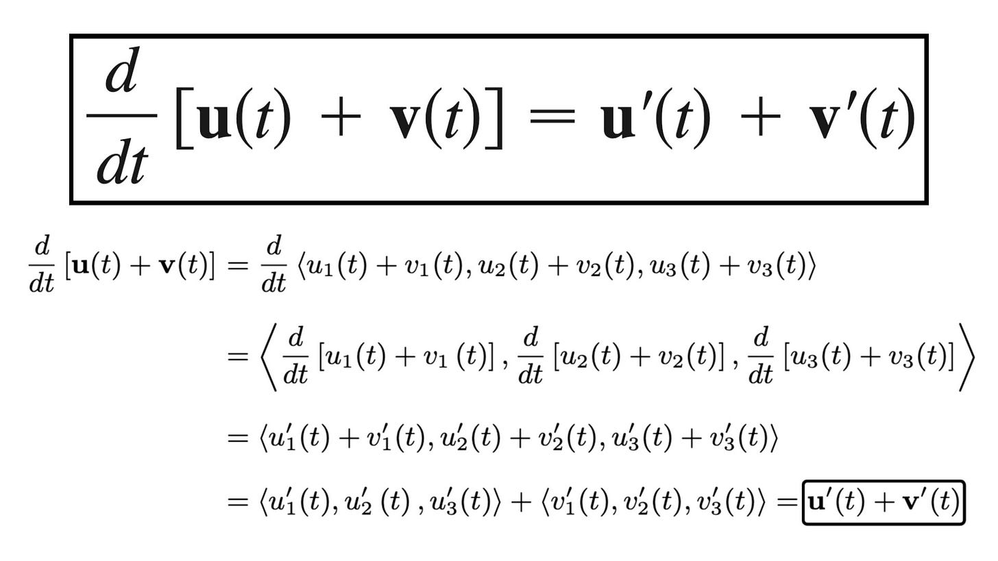
Exercise 2: Proof of Formula 1: Derivative of Addition of Vector Functions

This follows from adding the vectors first, then applying differentiation by components, followed by splitting the vectors back up again.

YouTube - Summary - Notes - Playlist - Vector Functions playlist

In this video I go over Formula 1 of the differentiation rules for vector functions and show the derivative of the addition (or subtraction) of vector functions is just the derivative of each vector function added (or subtracted) to each other. This follows from adding the vectors first, then applying differentiation by components, followed by splitting the vectors back up again.

#math #vectors #calculus #stem #education

Timestamps

  • Exercise 2: Proof of Formula 1: 0:00

  • Adding the vectors and taking the derivative of their components: 1:05

  • Separating the components to obtain our formula: 4:19

MES Links

Donate to MES

Discussion about this video

User's avatar