YouTube - Summary - Notes - Playlist - Vector Functions playlist
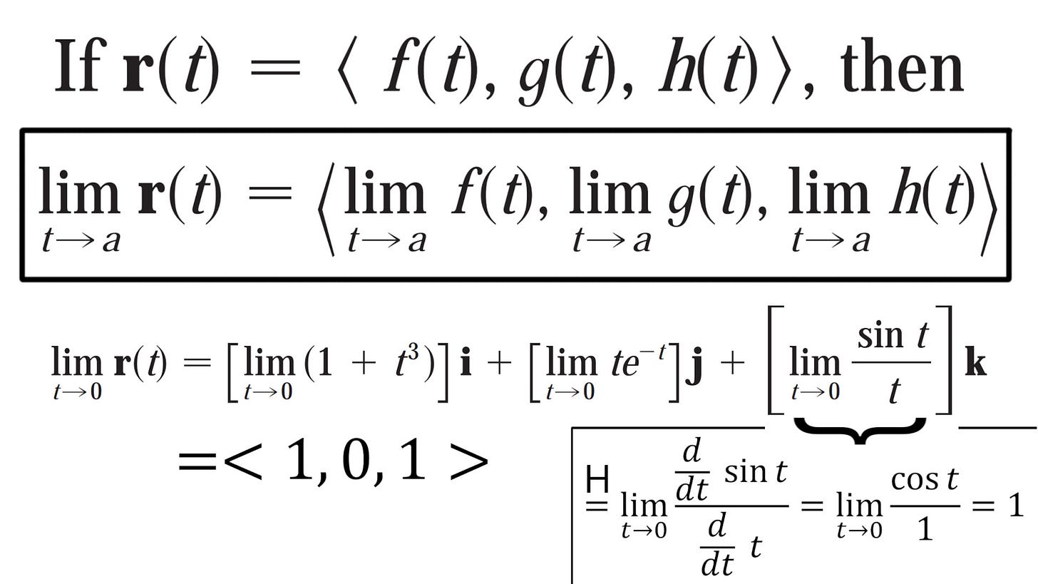
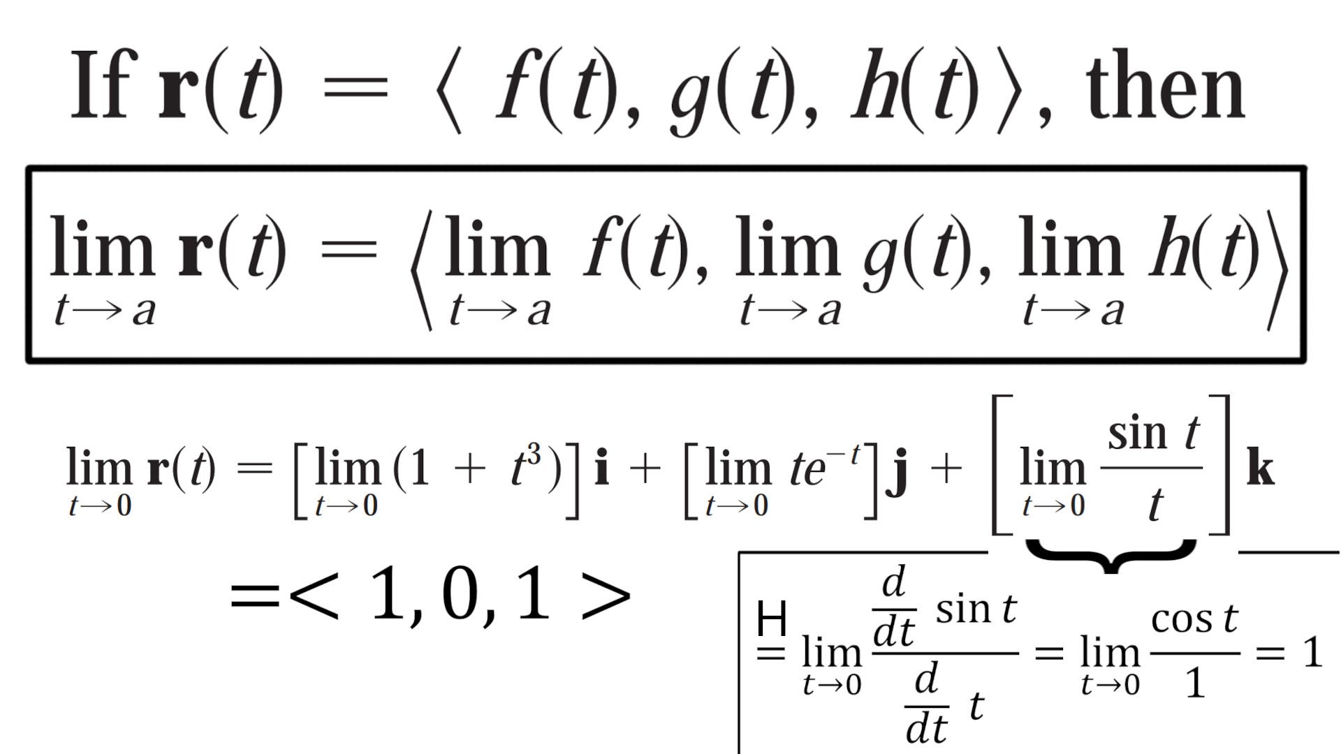
In this video I go over the definition of the limit of a vector function, which involves taking the limit of each of its component functions. If the limit exists, then so does the limit of each component function. If the limit is equal to a vector L, then this means the length and direction of the vector function both approach L. I go over an example on determining the limit of a vector function, and this particular example involves using L'Hospital's Rule for indeterminate limits (thus we can take the limit of the derivate of the numerator and denominator).
#math #limits #vectorfunctions #education #calculus
Timestamps
Definition 1: Limit of a vector function involves taking the limits of its component functions: 0:00
If limit of a vector function approaches the length and direction of another vector, if it exists: 1:30
Example 2: Limit as t approaches zero: 3:51
Apply the L'Hospital's Rule for indeterminate limits: 7:07
Recap on L'Hospital's rule: Limit of the derivatives of its numerator and denominator: 9:11











