YouTube - Summary - Notes - Playlist - Vector Functions playlist
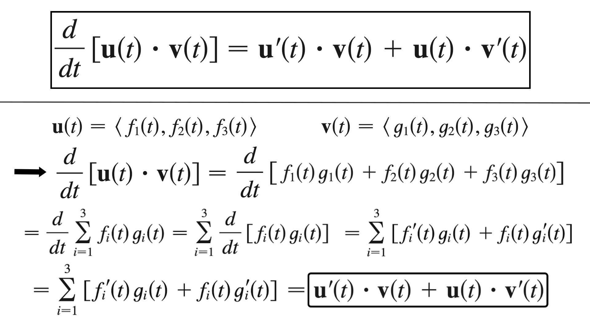
In this video I derive the 4th differentiation rule for vector functions, which involves taking the derivative of the dot product between two vector functions and yields a similar result as the normal product rule for real-valued functions. I prove this by first expanding the dot product and writing it as a finite sum. Then, by applying summation rules and taking the corresponding product rule for real-valued functions of the summation series, we obtain our proof!
#math #science #calculus #vectors #dotproduct
Timestamps
Proof of Formula 4: Expanding the dot product: 0:00
Writing the dot product as a summation and applying the ordinary product rule: 1:54
Dot product becomes the product rule of each term in the summation: 4:06
Splitting into two summation equals Formula 4: 5:24











